栅极驱动器是保证SiC MOSFET安全运行的关键,设计栅极驱动电路的关键点包括栅极电阻、栅极电压和布线方式等,本章节带你了解SiC MOSFET驱动电路设计、驱动电阻选择、死区时间等注意事项。
驱动电路设计注意事项
下面以采用光耦隔离的基本栅极驱动电路(图1)为例来说明。

图1:采用光耦的基本栅极驱动电路
使用光耦来隔离输入信号时,光耦必须具备高速和抗干扰能力(高CMRR)。
确保驱动电源功率以施加正负偏压,使栅极驱动电流能够充分开通关断SiC MOSFET。栅极驱动电流不足可能造成栅极电压震荡、SiC MOSFET功耗增大等问题。
尽量减少栅极驱动走线长度。为避免主回路等引起的噪声,可以将栅极走线和源极走线扭为双绞线。同时避免将栅极走线与其它相的栅极走线捆绑在一起。
当负载短路时,由于米勒电容的影响,栅源极电压VGS会抬升,并进一步增大漏极电流,SiC MOSFET可能因为过大电流而导致击穿。因此,建议抑制栅源极的浪涌电压。下图2给出了一个示例。

图2:栅源极电压钳位示例
如果在控制电压稳定之前对主电路施加电压,功率模块可能会被损坏。
如果在控制电压稳定之前对主电路施加电压,建议在栅极与源极之间插入一个电阻。(电阻值示例:几千欧姆到几十千欧姆)。
驱动电阻选择注意事项
栅极电阻(RG)是影响开关特性和噪声的重要参数。RG的推荐最大值和最小值由规格书给出。应仔细确认并选择最佳的RG值,以确保在用户实际系统中不会发生任何违反最大额定值(如Tjmax、VCES等)的情况。由于浪涌电压会根据电气设备的布线电感和缓冲电路等因素而变化,因此最佳栅极电阻值会因用户而异。为了最大限度地发挥器件性能,可以分别设置开通和关断的栅极电阻。
栅极电阻的主要影响如表1所示:

表1:栅极电阻影响
死区时间
在变流器设计中,需要合理设置上桥臂和下桥臂死区时间,以防止上桥臂和下桥臂短路。

图3:死区时间
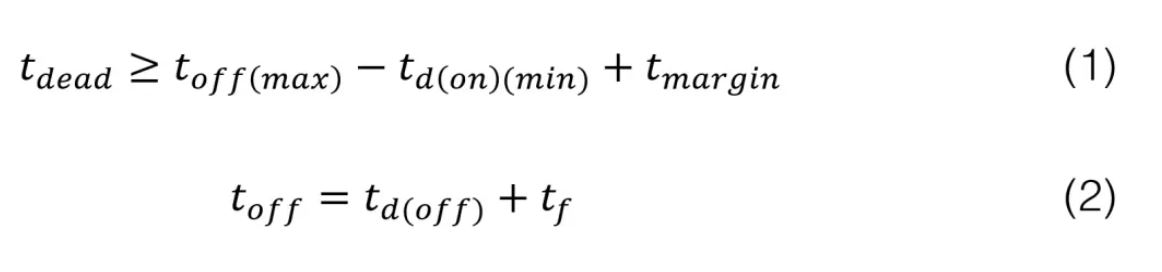
死区时间取决于上下桥臂开启和关断的切换时间。因此,所需的死区时间将根据栅极电阻值而变化。如果死区时间过短,可能导致上下桥臂短路。如果死区时间过长,会导致输出波形失真、效率降低等。死区时间tdead一般按照如下公式(1)选定。

toff(max)为最大关断时间,如公式(2)所示,其包含关断延迟时间td(off)和电流下降时间tf,关断时间与SiC MOSFET漏极电流大小、工作温度、栅极电阻、驱动电压等因素相关,可根据实际应用条件查询器件的数据手册获得最大关断时间toff(max)。
td(on)(min)为最小开通延迟时间,同样与SiC MOSFET漏极电流大小、工作温度、栅极电阻、驱动电压等因素相关,器件的数据手册一般不标注此参数,实际应用中可忽略不计。
tmargin为安全裕量时间,一般根据系统的可靠性要求来确定,比如100ns~500ns,甚至更高。
文章来源:三菱电机半导体