本文重点:
射频功率收集,对于源和负载之间的最佳功率传输、减少功率反射和提高系统效率而言,IMN 至关重要。
能量收集整流器和电压倍增器电路(例如 Cockcroft–Walton 和 Dickson 倍增器)是将射频信号转换并放大为可用直流电的关键,每种设计都会满足一些特定的电压要求和效率需求。
射频功率收集系统可以利用静态(例如广播电台、移动基站)和动态(例如 Wi-Fi 接入点、警用无线电)环境射频源,需要采用复杂的方法才能在物联网应用中持续高效地供应能量。
射频功率收集电路采用多种电路技术,旨在以最小电压和电流工作。射频波来自卫星站、无线互联网、无线电台和数字多媒体广播。射频功率收集系统能够捕获这种电磁能,并将其转换为可用的直流(DC)电压。尽管射频波的环境功率密度较低,但通过专门添加源以实现更好的功率传输,就可以显著提高其效率。此外,还可以实施定制设计的升压射频功率收集电路,以满足负载应用的特定需求。

射频功率收集电路器件
射频功率收集电路阶段细分
射频功率收集电路器件
阻抗匹配电路
在低功耗电气系统中,传输过程中的功率泄漏会导致能量损失。要解决这个问题,集成阻抗匹配网络(Impedance Matching Network, IMN)电路至关重要,因为它可以确保射频源和负载之间的最佳功率传输。在 WPH(Wireless Power Harvesting)应用中,我们将接收天线视为源,将整流器或电压倍增器视为负载。在直流电路中,当源和负载的电阻相等时,功率传输效率最高。然而,在射频电路中,阻抗取代了电阻。源和负载之间的阻抗失配会导致电路内的功率反射,进而降低整体的系统效率。
IMN 的作用是通过引入无功器件来调整源和负载的阻抗,从而提高功率传输过程的效率。IMN 电路的示例包括:
L 网络
反向 L 网络
T 网络
Pi 网络
多频段匹配网络
能量收集整流器
整流器器件可以影响能量收集 (EH) 电路的效率。在进行功率收集时,天线捕获的射频信号通常具有正弦波形。经过 IMN 处理后,该信号被整流,然后升压以满足特定应用的功率要求。它们通常涉及多种配置,包括单二极管整流器、电压倍增器和下文将要讨论的更复杂的结构,每种配置都旨在优化交流到直流的转换。
电压倍增器电路
电压倍增器是一种专门的整流器电路,用于转换交流输入并将其放大为直流输出。当整流后的功率不能满足预期应用的要求时,就需要增强直流输出。通过串联整流器,从而形成电压倍增器。
此类电路最基本的配置是 Cockcroft–Walton 电压倍增器。该电路的工作原理与全波整流器类似,但包括额外的级,以实现更高的电压增益。
此类电路的另一种变体是 Dickson 倍增器:它在 Cockcroft–Walton 设计的基础上进行了修改,具有分流级电容器,可减轻寄生效应。因此,Dickson 倍增器更适合需要小电压的应用。不过,使用此设置可能很难实现高功率转换效率 (PCE)。此电路中,二极管两端的高阈值电压可能导致产生漏电电流,因而降低整体效率。此外,在具有高电阻负载的情况下,输出电压可能会大幅下降,从而导致负载的电流供应减少。
Dickson 电荷泵通常采用一系列二极管耦合级来高效传输电荷并提高电压。它可以提供相对稳定的输出,非常适合仅需适度增加电压的应用。
差分驱动电压倍增器能够实现高电压倍增,效率较高但较为复杂。

天线设计说明
在天线或整流天线设计中,关键性能参数包括增益、谐振频率和带宽。假设空间畅通无阻且具有各向同性发射源,那么波的扩散在所有方向上都是均匀的。然而我们必须认识到,天线并不总是以球形(各向同性)模式分配功率。根据设计的不同,天线可以更具体地将能量引导到特定方向。
射频功率基础知识
空间中的功率损耗通常用自由空间路径损耗(FSPL)来表示,它指的是信号在开放空间中传播时的功率降低。要计算 FSPL,需要了解天线增益、发射波的频率以及发射器和接收器之间的距离等数据。电磁波的属性取决于与发射天线的距离。这种行为变化分为两个不同的类别:远场和近场。
近场和远场
在远场中,电磁波的模式往往相对均匀。然而在近场中,电和磁分量明显更强且更独立,以至于一个分量可能主导另一个分量。近场区域定义为 Fraunhofer 距离以内的空间,而远场区域是超出 Fraunhofer 距离之外的空间。

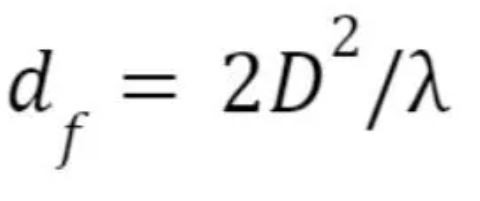
Fraunhofer 距离是定义近场和远场区域边界的关键参数。它是根据辐射器的最大尺寸(D)和电磁波的波长(λ)计算而来的。
虽然 Fraunhofer 距离确定了一个边界,但近场和远场区域之间的实际过渡并没有明确的界限。
在近场中,从天线延伸出一定距离内的区域称为非辐射/反应近场区。在这里,电场(E)和磁场(H)不同相,导致能量失真。
当我们从这个近场区域向距离天线更远的远场移动时,就进入了辐射近场或 Fresnel 区域。在这个区域,电磁波反应性质的主导地位减弱,但 E 和 H 场的相位仍然随距离而变化。

图中描绘了近场和远场区域的空间分布。
射频能量自由空间功率
从自由空间收集的射频能量通常具有较低的功率密度,因为电场功率密度会以成比例的速率减小到 1/d²,其中 d 表示与射频源的距离。因此,需要使用一个功率放大器电路,以便从电磁波中产生足够的直流能量来为负载和应用供电。这种情况可能会导致两种结果:
如果负载的功耗小于收集的平均功率,则负载处的电子设备可以持续运行。
如果负载消耗的能量超过功率收集电路产生的能量,设备就无法持续运行。
从环境射频源收集射频能量
尽管静态源是稳定功率发射器,但需要通过更复杂的方法来为传感器设备供电。这通常涉及到调制信号,例如改变频率和传输功率。静态源的例子包括广播电台、移动基站和电视等环境实体,在功率收集场景中,通常会利用这些源。
另一方面,动态源是以不受控制的方式发射信号的发射器,无法用物联网(IoT)系统专门监控。要有效地利用来自这些源的能量,必须使用智能无线能量收集 (WEH)系统。该系统必须不断扫描通道,以识别潜在的收集机会。这类不受监控的环境源的示例包括 Wi-Fi 接入点、微波无线电链路和警用无线电。这些动态源为各种物联网应用中的能量收集带来了一系列独特的挑战和机遇。
利用 Cadence AWR 软件可彻底改变射频功率收集电路。借助高级仿真工具,可提高设计的效率和性能。AWR Design Environment V22.1 版本可提供设计自动化、增强型射频仿真和器件建模,支持集体设计、加速优化,具有强大的设计同步分析和可制造性设计工作流程,从而加速射频/微波元件和系统的开发,涵盖单片微波集成电路(MMIC)、射频集成电路、封装、模块和 PCB 技术。
文章来源:Cadence楷登PCB及封装资源中心