本文的关键要点
・可以在线性近似有效范围内对所测得的波形进行分割,并使用示例公式进行损耗的近似计算。
・MOSFET开关工作时的总功率损耗是开关损耗和导通损耗之和。
本文将介绍根据在上一篇文章中测得的开关波形,使用线性近似法来计算功率损耗的方法。
开关波形的测量方法
通过波形的线性近似分割来计算损耗的方法
根据测得波形计算功率损耗示例
各种波形的开关损耗计算示例
各种波形的导通损耗计算示例
SiC MOSFET通过波形的线性近似分割来计算损耗的方法
通过在线性近似有效范围内对所测得的波形进行分割,可以计算出功率损耗。
导通和关断区间的开关损耗
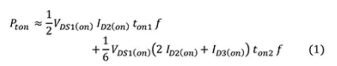
首先,计算开通和关断时间内消耗的功率损耗Pton和Ptoff。波形使用图1中的示例波形。功率损耗使用表1中的近似公式来计算。由于计算公式会因波形的形状而有所不同,因此请选择接近测得波形的近似公式。
在图1的波形示例中,开通时的波形被分割为两部分,前半部分(ton1)使用表1中的例2。另外,使用公式ID1≔0作为条件。后半部分(ton2)使用例3中的公式VDS2≔0。
在图1中,会因MOSFET的导通电阻和ID而产生电压VDS2(on),但如果该电压远低于VDS的High电压,就可以视其为零。

图1. 开关损耗波形示例
综上所述,可以使用下面的公式(1)来近似计算开通时的功率损耗。

同样,将关断时的波形也分为两部分,前半部分(toff1)使用表1的例1中的公式VDS1≔0,后半部分使用(toff2)例8中的公式ID2≔0。在图1中,由于前述的原因,会产生电压VDS1(off),但如果该电压远低于VDS的High电压,则将其按“零”处理。这样,就可以使用下面的公式(2)来近似计算关断时的功率损耗。

导通期间的功率损耗
接下来,我们来计算导通期间消耗的功率损耗。图2是用来计算导通损耗的波形示例。由于在TON区间MOSFET是导通的,因此VDS是MOSFET导通电阻和ID的乘积。有关导通电阻的值,请参阅技术规格书。需要从表2中选择接近该波形形状的例子并使用其近似公式来计算功率损耗。

图2. 导通损耗波形示例
在本示例中,我们使用表2中的例1。MOSFET导通期间的导通损耗可以用下面的公式(3)来计算。

MOSFET关断时的功率损耗在图2中位于TOFF区间,由于MOSFET关断时的ID足够小,因此将功率损耗视为零。
总损耗
如公式(4)所示,MOSFET开关工作时的总功率损耗为此前计算出的开关损耗和导通损耗之和。

需要注意的是,表1和表2中的每个例子都有“参见附录”的注释,在附录中有每个例子的详细计算示例。各计算示例将会在后续的“各种波形的开关损耗计算示例”和“各种波形的导通损耗计算示例”中出现。
文章来源:罗姆半导体集团