现代光电器件普遍具有控温需求,发射管需要恒定温度以保证波长稳定,接收管在高信噪比测量应用中则需要低温以稳定输出阻抗并抑制噪声。利用波尔贴效应的TEC(热电制冷)片,结合光电管和温度传感器构成的恒温槽式光电器件非常常见。
SGM41298/SGM41299C等单芯片TEC温控器件作为恒温槽的核心部件应运而生。本文以SGM41299C为例,在理解温控环路的工作原理及参数设定方式基础上,阐述如何实现温控环路热平衡。
SGM41299C简介
SGM41299C[1]是一款集成单片热电冷却(TEC)恒温器驱动器件,配备两级反馈放大器。该器件包含一个差分驱动器(输出)级、一个内部2.5V输出参考电压以及两个零漂移轨到轨斩波放大器。其中一个斩波放大器用于偏置感测到的温度信号,另一个则作为误差放大器,用于闭环温度控制的补偿。该放大器还可以与数字控制器配合使用。
TEC驱动在线性推挽级和脉冲宽度调制(PWM)开关级之间以差分方式进行。线性推挽级构成差分输出的一个臂,具有较高的增益,当误差信号不接近零(>2.5%)时会饱和,这意味着TEC主要由另一个臂驱动。另一个臂具有较低的增益和高频PWM开关驱动器,能够高效地驱动TEC。PWM开关驱动器的输出通过LC滤波器,在到达TEC之前消除较大的电压纹波。该器件能够吸收或提供连接到TEC的加热和冷却模式所需的电流,并将其温度稳定在设定点。
此外,SGM41299C采用高效单电感器架构,配备单端至差分驱动器,内置低RDSON MOSFET。具备TEC电压和电流监控功能,无需外部检测电阻,可实现独立的加热和冷却电流/电压限制编程。PWM驱动器开关频率为2.0MHz(典型值),兼容RTD或NTC热传感器,并设有温度锁定指示器。该产品已申请专利,采用符合环保理念的TQFN-6×6-36L绿色封装,并能在-40℃至+125℃的温度范围内运行。
温控环路基本原理
利用SGM41299C内部的组件,可建立一个不需要外部干涉的纯硬件,独立温控系统结构如图1所示。

图1 SGM41299C温控系统结构分解示意图
1、红框中的斩波放大器A1为温度传感器的放大电路,本文中温度传感采用负温度系数(NTC)温敏器件。因此A1也称为NTC放大电路,输入是温度(映射为NTC阻值R),输出为电压。其电路构型如图2所示。

图2 温度传感放大电路构型
分析上图,输出电压计算见公式(1):

因NTC是负温度系数的元件,所以该电路的VOUT1是温度的单调递增函数。
2、蓝框中的斩波放大器A2作为误差放大器(EA)及补偿网络。由于温度系统具有滞后性,需要超前补偿,根据经典控制理论,补偿网络的零极点和TEC-NTC(也称作TEC增益)的固有零极点相互作用,确保环路稳定收敛。
3、黄框部分为功率级,其输出功率随补偿网络输出单调变化,且在工作范围内电压增益有限(远低于补偿放大器的开环增益)。
4、绿框部分为TEC元件。TEC是利电子跃迁能量的主动式热交换器件(主动热泵),热交换方向可以通过改变载流子运动方向而改变(即可以改变偏置方向来翻转冷热端交换极性),基本原理如图3所示。

图3 TEC基本原理图[2]
Tips:通常会控制TEC的工作状态,使其冷端降温与输入功率(电流)呈单调变化,即电流越大,搬运热量越多,冷端温度越低,制冷能力越强。制冷时TEC的主动热泵传导与电流成正比,而TEC内阻产生的发热与电流平方成正比,一味增加输入电流可能会导致发热超过制冷,使系统失去单调性。图4是一个典型TEC在不同热功率传递值下的I-V曲线。由图可知,在峰值轨迹(Peak Trace)之后以及更高电流处,驱动电压与ΔT(冷热端温差)的单调性会反转(如果输入功率无止尽的增加,图中更高电流处的曲线会下降回零直至零以下,此时整个系统的加热/制冷极性都会发生翻转),因此冷却电流必须小心限制在峰值轨迹以下,以保持驱动电流与产生的ΔT之间的单调关系。这对于稳定性和闭环收敛至关重要。

图4 典型的I-V和热传递曲线
图1系统控制层面的组件简化后的信号耦合传递如图5所示。TEC和温度传感NTC通过被控器件进行热耦合,温度变化(如光电器件发热)是环路的外部扰动因素。

图5 TEC温度控制系统信号耦合示意图
以NTC处温度上升为例,环路响应过程如下:
被控器件温度上升→NTC阻值下降→NTC放大电路输出(VOUT1)上升→误差放大器输出的绝对值上升(表现为VOUT2偏离放大器同相端电压VTEMPSET的绝对值)→输出功率上升→TEC制冷功率上升→被控器件温度下降。由此可见,该系统显然具备收敛性。
从环路单调性上,TEC输入功率上升必须导致NTC温度下降(VOUT1下降),整个负反馈的极性才能保证;如果监测到TEC输入功率上升,同时NTC温度也上升,证明这个热系统已经失控。下文将从热耦合机制和环路参数设定论述如何稳定热系统。
热传递系统模型
图6展示了一个简单的光器件恒温槽结构。
图6 光器件恒温槽结构示意图
根据能量守恒,系统稳定的前提是总加热功率小等于总耗散功率。若不满足,则会发生热失控:内部热量累积导致TEC热端温度持续上升,使得从热端到冷端方向上的温差热传导功率接近从冷端到热端方向上的主动热泵功率,TEC丧失制冷能力,反而成为发热器件。
确保系统响应极性与单调性的条件包括:
1、TEC冷端对被控器件的吸热功率应大于外壳保温层的热泄露功率;
2、主动热泵功率远大于冷热端的温差热传导功率;
3、总散热功率容量应远大于系统总发热功率(TEC输入功率加上外壳热泄露功率),在满足能量守恒的同时,将TEC热端控制在较低水平,减少温差热传导。
综上所示,足够小的总发热功率、足够大的热沉功率以及良好的热传导/耦合,是温控环路正常工作的前提。
如果这个系统稳态能收敛,但是引入一个动态(改变被控器件的工作状态可以等效为增加一个温度上的阶跃误差)后不能重新收敛,证明该系统的热平衡已经比较临界。解决办法是增强散热或减小补偿网络的动态增益。
电路推导和参数设定
4.1 温度传感电路推导
图2为温度传感放大电路构型,根据公式(1)可推出:其增益随RFB增加而增加,随R增加而减小。若需减小补偿网络增益,即减小温度传感电路输出增益,则可通过减小温度传感放大电路的RFB获得。
4.2 补偿网络的收敛

图7 TEC温度控制系统信号耦合示意图拆解
忽略热耦合与放大电路增益等细节,将橙色框内组件看作一个整体,其输入是误差放大器A2的输出VOUT2,输出是第一个测温放大器A1的输出VOUT1。该系统在工作范围内是一个单调的二端口网络,被控系统传递函数记为H(s),即TEC增益;误差放大器与补偿网络的传递函数记为G(s),整个TEC温控系统可简化为:

图8 温控系统控制结构简化图
环路收敛时,误差放大器输入满足VOUT1=VTEMPSET。
4.3 补偿网络的数学原理
通常有了H(s)的幅频特性或波特图,便可合理设计补偿传递函数G(s)的零极点。然而,温控系统因巨大的滞后性而显得特殊。

图9 典型的恒温槽光器件的TEC增益波特图
图9为一个典型恒温槽光器件的TEC增益波特图(同时能反映传递函数H(s)的特征根)。可见带宽内存在两个极点,一个在mHz级别,一个在Hz级别,一般设备难以精确测量。这样的双极点系统存在一个主要的问题:当系统增益被提升后,两个极点势必落在带宽内,在很低频处增益就会以-40db/dec的速率衰减,导致系统不稳定,而且穿越频率低,响应速度慢。
补偿函数G(s)需要两个对应的零点来抵消这两个极点的影响。此外,引入一个低频极点作为主极点以增加低频增益(从而减小稳态误差),再引入一个处于穿越频率和十倍穿越频率之间的极点,用于控制相位和增益裕度。这样做的目的是获得一个合适的补偿后传递函数H(s)*G(s),使其低频增益足够高,穿越频率之前只有一个有效极点,且相位裕度控制在45°到60°之间。
4.4 补偿网络零极点分布
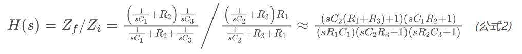
根据上述分析,补偿的传递函数需要具备一个低频极点、两个用于补偿带内极点的零点,以及至少一个接近穿越频率(fcross)的带外极点以控制相位裕度和增益裕度。Type III型[3]补偿电路最多可提供两个零点和三个极点,因此较为适用。

图10 Type III型补偿电路示意图
分析图10可得传递函数H(s)公式为(一般取C1≫C3进行近似计算):

其对应零极点如下:

零极点在带宽上的分布(包含实际图与零极点折线图)如图11所示。

图11 零极点在带宽上的分布示意图
通常将fp1作为GBW外的第一个极点,fp2的作用可暂不讨论。需计算的参数包括:
fp0:作为主极点(带内唯一有效极点);
fz1,fz2:用于消除TEC增益带宽内的两个极点;
fp1:位于穿越频率至10倍带宽之间,用于控制相位裕度。
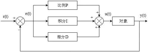
4.5 基于PID的参数整定方法
如前所述,TEC增益的带内极点难以精确测量,仅依靠猜测得出的补偿网络参数并非最优解。工程上常基于PID的临界参数法进行整定。

图12 PID整定示意图[2]
Type III型补偿电路在满足一定的条件下可简化为比例、积分、微分的方程,其相应元件标注为P(Proportional),I(Integral),D(Derivative)。下述图中仍假设CI>>CF。
针对SGM41299C内部的两个斩波放大器,推荐以下整定步骤:
A. 单比例控制

图13 单比例控制电路示意图
CD开路,CI短路,电路变为单比例控制,先选定一个RI(建议100kΩ或更大,为后续调整留出空间),逐步增大RP/RI的比例,直到观察到OUT2出现轻微震荡,此时即为临界比例参数。将该比例除以2,即为实际可用的比例值,通常RP/RI<1。
B. 增加积分项

图14 积分项添加示意图
将积分电容CI接入系统,逐渐减小CI(积分项增强,RC积分输出与R*C成反比),直至OUT2出现临界震荡。将此临界状态的CI容值除以2即为可用的积分项参数。
C. 增加微分项

图15 微分项添加示意图
将RD短路,接入一个远小于CI的电容CD。逐渐增大CD容量,直至OUT2出现震荡(临界)。此时,可通过减小CD或接入RD重新稳定电路。微分项增益与RD和CD大小成反比。
D. 反馈电容
引入pF至nF级别的反馈电容CF,可进一步增强环路的稳定性。
结语
综上所述,模拟温控系统维持热平衡,需先保证系统稳态时可以收敛,在改善了散热的条件下,可以通过减小补偿网络的增益尝试去调节,而不用重新计算所有参数。
减小补偿网络增益的方法有:
1、减小温度传感放大电路的RFB;
2、减小RP/RI的比例;
3、增大RD或者减小CD。
在实际应用中,除理论计算和PID整定外,还需注意PCB布局的热设计、NTC的选型与放置、TEC驱动能力的匹配等实际问题。良好的热结构和合理的环路参数共同决定了系统的控温精度、稳定性和响应速度。
参考文献
[1] SG Micro Corp. SGM41299C Datasheet[EB/OL]. https://www.sg-micro.com/rect/assets/47c8d32e-586a-46ce-b5a5-5a688fa8f41....
[2] Mayursinh D. Thakor, S. K. Hadia, Ashok Kumar. Precise Temperature Control through Thermoelectric Cooler with PID Controller[C]. April 2015.
[3] Texas Instruments Incorporated. Demystifying Type II and Type III Compensators Using Op-Amp and OTA for DC/DC Converters[EB].
文章来源:圣邦微电子