本期,我们将介绍补偿二极管压降变化的详细知识
尽管二极管的整流特性很有用,但在不同温度下,它们产生的正向压降差异很大。这会增加损耗,可能会在电源中引入容差误差。
虽然可能无法消除二极管的损耗,但在某些应用中可以使用它们来减少容差误差。本文将提供三个示例,向您展示如何做到这一点。 您可以利用电阻器和齐纳二极管,构建一个简单的低电流稳压器。这类稳压器通常足以满足非关键应用的需求,如内部偏置电压。电路通常会将输出电压调节至大约 ±10% 容差。不过,通过增加一个串联二极管,可以改善稳压效果。 图 1 显示增加了一个与齐纳二极管串联的二极管。图 1 中的曲线绘制了不同齐纳电压的温度系数。当值超过 4.7V,温度系数会变为越来越大的正值,因此随着工作温度的升高,齐纳二极管上的电压将会增加。如果配合二极管的负温度系数,增加的齐纳电压一部分会因二极管正向电压降低而抵消,从而消除温度误差。 低于 4.7V 的齐纳值具有负温度系数,因此增加串联二极管实际上会加大调节误差。
图 1:正温度系数齐纳二极管与负温度系数二极管相串联,可减小温度误差
例如,7.5V 齐纳二极管显示温度系数为 +5mV/°C,而传统二极管 (BAT16) 在 10mA 下的温度系数约为 −1.6mV/°C。当二极管电流非常小时,该值变为越来越小的负值 (−3mV/°C),因此请务必在齐纳二极管的电流水平下进行检查。理想情况下,两个温度系数将完全抵消,但这并不现实,也并非总是有此必要,因为简单的改进可能就已足够。对于正温度系数更高的较高电压齐纳二极管,两个(或更多)二极管可能会改善消除效果。 图 2 显示了不同齐纳值(无串联二极管、具有一个串联二极管和具有两个串联二极管)的输出电压下,计算出的图 1 对应电压调节误差,工作温度在 25°C 和 100°C 之间。图 2 中的垂直线显示,在 7.5V 输出下,增加串联二极管可以将温度相关误差减小 3-5%。
图 2:在超过 4.7V 的齐纳值下增加一个或多个串联二极管可减小电压调节误差
第二个示例涉及一些转换器,它们需要一个电平转换器来将输出电压信息发送到控制电路。 图 3 是负输入转正输出反相降压/升压。控制电路以 −Vin 轨为基准,但输出电压以 GND 为基准。为了使控制电路准确调节输出电压,电平转换器会在“FB 和 −Vin”之间重建差分“Vout 至 GND”电压。在这种实现中,电流源大约等于从 Vout 到 −Vin 的 (Vout − Vbe Q1)/R 流。该电流在下电阻器中流动,从而重建以 −Vin 为基准的输出电压。通过添加配置为二极管的 Q2,会恢复从 Q1 损耗的 Vbe 压降。现在,除了与 β 相关的小误差外,FB 引脚上的电平转换电压会密切复制 Vout 和 GND 之间的电平转换电压。 增加“二极管”Q2 的一个优点是,它的正向电压将非常接近 Q1 的电压,因为流经二者的电流几乎完全相同。要在 Q2 上实现最佳的电压匹配,应使用与 Q1 相同的晶体管。另一个优点是两个晶体管具有相同的温度系数,使得它们的正向电压可以更精确地相互跟踪。与 Vbe 差异相关的温度误差得以显著减小,因为它们会互相抵消 (VFB ~ Vout − Vbe Q1 + Vbe Q2)。Q1 和 Q2 务必要彼此靠近放置,以便它们暴露在相同的温度下,或者使二者尽可能使用双晶体管封装。
图 3:电平转换器通过实现 Q2 来消除与 Q1 相关的差异
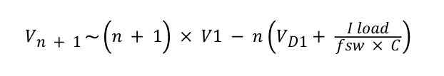
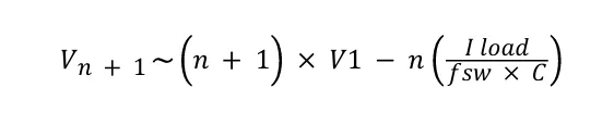
图 4 中所示的第三个示例显示了一个具有一系列电荷泵级的升压转换器,此时每个级“n”会在“Vn + 1”时的总输出上增加大约 “V1”。
图 4:电荷泵二极管压降可以相互抵消
方程式 1 将总输出电压近似为:
方程式 1
从方程式 1 可以看出,Vn + 1 在很大程度上由 n 的倍数决定,但会因与二极管正向压降和电荷泵转换电容器纹波电压相关的“误差项”而降低。假设所有二极管类型相同,且其正向电压相等: VD1 = VDa = VDb,则方程式 2 为:
方程式 2
在方程式 2 中,右侧“误差项”会将输出降低至其理想的 n + 1 倍数以下。为了改善这一点,对 VDa 和 VDb 使用肖特基二极管,并对 VD1 使用传统二极管,正向压降等于: VDa = VDb = VD1 / 2,则方程式 3 为:
方程式 3
从方程式 3 可以看出,可以减小与二极管压降相关的误差项,从而进一步增加输出电压。虽然方程式 3 仍是一个近似值,但此概念有效,原因在于输出电压将会增加。 二极管正向电压和温度变化通常会降低电路性能,但并非总是如此。这些设计示例证明借助一些方法,可以消除或尽可能降低二极管的温度相关特性。 文章来源:德州仪器