精密系统中的RTI计算和仿真

本文简要介绍了精密系统中的参考到输入(RTI)的计算和仿真,以及如何从中获得尽可能多的重要信息。在设计用于模拟测量的信号链时,必须考量信号链中不同组件导致的误差和噪声,用于确定最高性能。规格可以用百分比(分数)表示,或者如果是线性系统,可以参考到输出或参考参考到输入。参考到输入的计算往往会造成误解,但能够提供有关系统性能的重要信息。

噪声、误差和参考到输入(RTI)

图1显示了测量的通用系统框图。每个模块可能有多个元件或多级来执行测量功能。从传感器到ADC的每个模拟级也会产生不需要的模拟噪声和误差,进而影响测量的结果。ADC输出端的数据代表信号与总噪声和误差的组合。有些噪声和误差可以通过校准、补偿和信号处理技术来降低。其余噪声和误差导致被测量的真实值的不确定性。对于测量仪器,不确定性分析有助于设定关键的系统规格,如准确度和精度。

将信号链噪声和误差参考到输入后,便可与输入信号直接比较。这样就能根据已知信号特性和要求,深入了解整体测量性能。例如,计算参考到输入(RTI)的总噪声可揭示能从噪声中辨别出的最小输入信号。考虑参考到输入计算的另一种方式是,ADC测量的数据通常在软件中进行缩放,以表示被测物理量的值。缩放前的原始数据包含误差和噪声;因此,缩放后会具有相同的相对误差和噪声量(但经过缩放),好像所有误差和噪声都与信号一起出现在输入端一样。

合并噪声源RTI和RTO

对于总噪声计算,噪声源在合并之前需要以相同的位置为基准。虽然噪声可以信号链中的其他位置为基准,但计算噪声RTI和RTO(参考到输出)对于确定系统性能最有用。设计人员可以选择电路中的哪个点来调用输入和输出,以及使用什么单位。例如,输入可以是温度之类的物理量,以°C为单位,RTI噪声可以°C来计算。或者,噪声可以参考到信号链输入端,以伏特(V)或安培(A)等电气单位为单位。同样,输出可以定义为来自ADC的数据,以最低有效位或等效电压为单位,或者定义为ADC输入端的电压。

RTI噪声源是放置在输入端的虚拟噪声源,在测量中产生与实际噪声源一样的噪声。每个RTI噪声源的值通过将实际噪声源除以从输入到该点的增益来确定。RTI噪声源的噪声功率谱密度相加,就是整个系统的噪声谱。同样,RTO噪声源是输出端的虚拟噪声源。对于RTO噪声,每个噪声源乘以到输出的增益,然后在该点进行合并。如果在所定义的输出之后没有噪声源,则RTO噪声与在该输出处测量的噪声一致。

图2显示了由同相增益级和低通滤波器组成的简单信号链的RTI和RTO噪声模型。

图1.通用测量框图.JPG

图2.RTI和RTO示例.JPG

两者之间存在不平衡,因为信号从输入流向输出。RTO噪声表示的是在整个信号链中传播后的噪声,与测量中的总噪声相匹配,但RTI噪声表示的是前几级的噪声,这些噪声尚未受到信号链后面几级的频带限制。被信号链滤除的带外噪声不会影响最终的测量值,但会出现在RTI噪声谱中。这在技术上不是问题,它并不意味着RTI噪声是错误的。RTI噪声乘以信号链的增益与频率关系曲线即可得到RTO噪声,不会丢失任何信息;然而,计算噪声RTI的目的是将噪声与输入信号进行比较。由于包含不影响测量的带外噪声,RTI的这种传统定义使得总积分噪声与输入信号的比较不太容易。

另一种定义——提供更多有用信息

输出信号可以与RTO噪声直接比较,因为它考虑了整个信号链,所以问题是:能否以某种方式定义RTI噪声,使它能很容易地与输入信号进行比较?答案反映了测量数据的实际使用情况:对RTO噪声应用与软件中对输出数据所应用的相同的缩放比例,以将其表示为输入信号。两者应该在输入端以相同方式计算,换言之就是输出噪声除以信号增益。

下一个问题是如何定义信号增益。无论直流耦合还是交流耦合,在大多数常规线性电路中,施加于信号的增益在设计的某个目标带宽上是平坦的。我们称此目标带宽为信号频带。信号在信号频带中具有有价值的信息,需要加以捕获。电路的-3 dB带宽设计得比信号频带要宽,以避免频带边缘的信号出现动态误差,但除了这一限制之外,通常还会尽可能限制带宽以降低噪声。

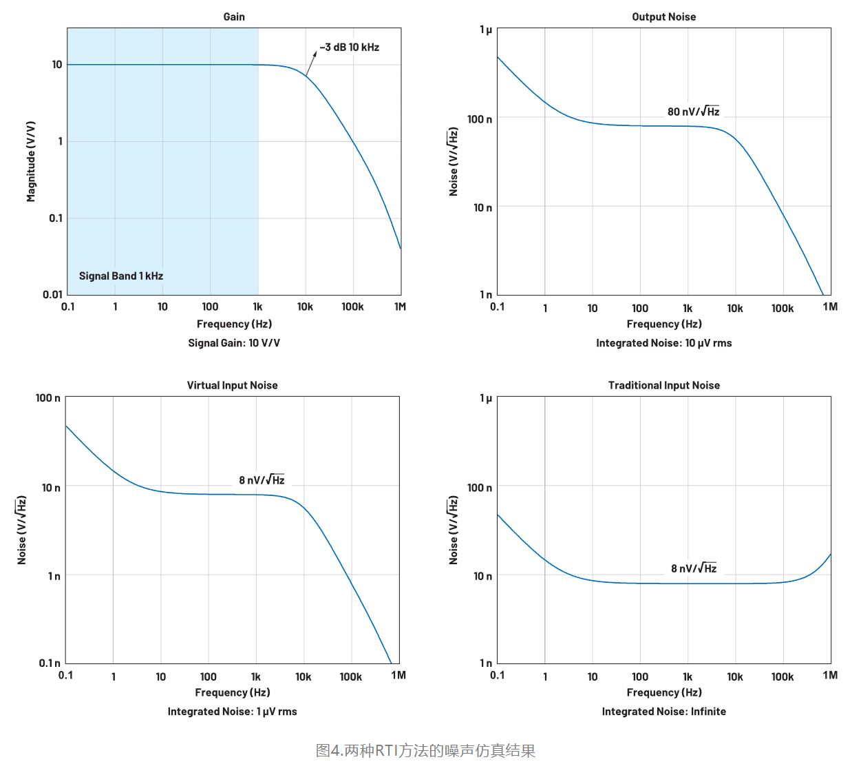
如果将信号增益定义为信号频带内的增益,并且使用该常数值将RTO噪声转换为RTI,那么RTI噪声将变得更有意义。这两种模型的差异如图3所示。在替代模型中,RTI噪声显示了影响信号测量的噪声,包括带外噪声的滚降。图4显示了两种RTI方法的仿真差异。

输入噪声曲线在低频时相同,但在增益滚降时出现分歧。传统的RTI噪声不能积分得到总噪声,而虚拟RTI噪声可以积分。对于积分噪声和噪声谱密度值,虚拟RTI噪声和RTO噪声的相互转换均可利用信号增益。

如果信号增益在信号频带内不平坦,请考虑调整信号频带或修改电路,使其具有更宽的带宽。这有助于避免信号频带边缘的信号性能下降。如果不可能,使用信号频带内的标称增益极有可能与一般情况和软件转换因子相匹配,但务必要评估信号频带边缘的误差和信噪比,以确保它们在性能目标范围内。

LTspice中的RTI计算

LTspice的多功能性和准确性使其对噪声仿真非常有用。输出节点和输入源在噪声仿真命令中指定,输出噪声(RTO)是查看分析结果的默认方式。LTspice还会根据RTI的传统定义计算参考到指定输入源的输入噪声,但如图4所示,对传统RTI噪声进行积分无法提供有意义的结果。图5显示了如何在LTspice的输出中添加一级,以便仿真器返回替代的虚拟RTI噪声。运行仿真后,在选定图形的情况下,从Plot Settings—Add Trace将输入噪声添加到图形中,然后选择V(inoise)。这会将输入噪声添加到图形中。曲线形状与输出噪声相匹配,表明整个电路的频率响应都得到了考虑。在按住ctrl键的同时左键单击图形中标题为"V(inoise)"的曲线,以对总RTI噪声进行积分。

图3.一种改进的RTI模型.JPG

图4.两种RTI方法的噪声仿真结果.JPG

图5.用于虚拟RTI噪声仿真的LTspice电路.JPG

用于信号链噪声分析的Web工具

信号链噪声工具 是ADI Precision Studio web工具套件的一部分,用于执行信号链级的噪声计算,包括总噪声的积分和虚拟RTI噪声计算。从传感器开始构建信号链,或从示例开始,然后利用信号链噪声工具确定从传感器到ADC的整个信号链的总噪声和交流性能。信号链噪声工具中的仿真模型使用数据手册中的完整测量噪声曲线来提供实验室精度的结果。此类工具的主要优点之一是能够加快设计过程。该工具可即时仿真电路变化对整体噪声性能的影响,从而加快设计迭代速度。完成后的信号链可导出到LTspice进行定制仿真。

图6.ADI Precision Studio中的信号链噪声工具.JPG

结论

参考到输入计算是了解测量系统预期性能的宝贵工具,有助于优化设计和掌握系统规格。本文基于测量系统架构提出的虚拟RTI噪声方法与一些传统方法相比,可以获得更多的有用信息,是一种有益的改进。LTspice和信号链噪声工具等仿真工具可帮助执行此分析。