作者:Chris New
本指南论述了 60 kW 双有源桥 (DAB) 转换器的设计、开发和测试,该转换器可同时满足电动汽车快速充电机的隔离和调节需求。此外,该设计所选择的拓扑结构使其能够并联,以实现高达 300 kW 的输出功率。

为了满足上述充电时间要求并进一步提高电动汽车的整体采用率,需要独立的电动汽车快速充电机 (>50 kW)。独立充电机可绕过车辆车载充电机,直接连接交流电网和车辆电池,从而建立高功率的直连。这种高功率输出通常通过提高电压来实现,以避免使用大电流电缆。虽然快速充电机可能比车载充电机大,但仍然需要提高效率和功率密度,以便大规模推广。
由于电动汽车快速充电机直接连接在交流电网和车辆电池之间,为了安全可靠地运行,充电机必须能隔离用户与交流电网,并能对充电机输出电压/电流进行调节。隔离可以通过直接连接到交流电源的工频率变压器来实现。然而,对于电动汽车快速充电所需的功率水平,相应的变压器会大得不现实。碳化硅电力电子器件能够在高开关频率下工作,因此可以采用高频率变压器。与同额定功率的低频率变压器相比,高频率变压器的优势是尺寸明显更小。因此,在设计中采用了高频率变压器。
有多种拓扑结构可以与高频率变压器配对,以提供所需的电动汽车充电机隔离。例如串联谐振转换器 (SRC)、LLC 和 CLLC(以其谐振槽中的元件命名)、移相全桥 (PSFB) 和双有源桥 (DAB)[1]。出于多方面的原因,本设计选择使用 DAB 拓扑结构。首先,DAB 可以在各种工作条件下在变压器的一次侧和二次侧实现零电压开关 (ZVS) 操作,由此减少了系统的整体损耗,从而提高了效率并降低了热管理要求。其次,该设计支持双向运行,这对于电动汽车充电机可以反向馈送交流电网的车网互动(vehicle-to-grid)应用至关重要。第三,DAB 可以同时满足快速充电机的隔离和调节要求。与 AFE 配对时,整个充电机仅包括两个级,如图 1 所示。因此不需要为了进行最终输出调节而包含三个级(三级充电机)。第四,DAB 拓扑结构容易并联提供更高的累加输出功率。相比之下,全谐振拓扑的并联运行可能比较困难,因为这种拓扑通常要求并联级之间的开关频率精确匹配。并联运行使 DAB 设计能够作为模块使用,通过添加或减少并联单元来实现不同的最大输出功率额定值。

图 1:二级电动汽车充电机架构
3. 双有源桥 (DAB) 转换器工作方式
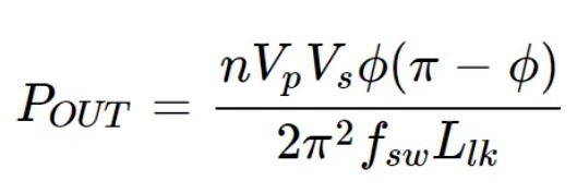
DAB 转换器在变压器的一次侧和二次侧均采用全桥电路,如图 2 所示。请注意,该图还包含其他组件,稍后将对此进行论述。两个全桥的工作方式相同,因此仅详细论述一次侧器件,二次侧器件的工作方式与此相同。所有开关位置都采用脉宽调制 (PWM) 方式工作,占空比为 50%(不包括死区时间的影响)。全桥的对角开关位置同相运行;即
。但两组对角之间反相;即:


其中 POUT 是 DAB 的输出功率 [W],n 是变压器变比 [无单位],VP 是一次侧直流电压 [V],VS 是二次侧直流电压 [V],
是相移 [弧度],fsw 是开关频率 [Hz],Llk 是电路漏电感 [H]。当
=
时,达到峰值输出功率。值得注意的是,该控制方案仅在一次侧和二次侧之间引入单个相移。通过在一次侧的互补对角对之间和二次侧的互补对角对之间引入独立的相移(通常称为三重相移 (TPS) 工作方式),可以进一步改进 DAB。然而,这些改进超出了本文的范围。

该设计的硬件以 CAB006A12GM3T 半桥功率模块为中心,如图 4 所示。该模块采用压接技术,通过简单的压入操作即可轻松将模块集成到设计中,无需通过螺栓连接端子或焊接大型铜箔。此外,该模块采用无底板设计,省掉了模块热堆栈中的一个原件,因此可以提高热性能。该模块全部采用 SiC MOSFET,以实现上文所述的 SiC 电力电子器件带来的电路级改进。最后,该模块使用预涂热界面材料 (TIM),具有多项优势,包括:TIM 经过专门选择,与许多现成的 TIM 相比具有更高的性能;预涂意味着 TIM 始终均匀且牢固;并且 Wolfspeed 充分地体现了采用该 TIM 的模块的热性能。

采用高性能 Wolfspeed CGD1700HB2M-UNA 栅极驱动器驱动每个半桥模块,即使在总线电压升高的情况下也能实现快速操作。栅极驱动器的每个位置均通过板载隔离式 DC-DC 电源和 Texas Instruments UCC21710 隔离式栅极驱动器集成电路进行隔离。采用 Texas Instruments TMDSCNCD28379D 通用控制器进行控制,可轻松实现固件定制,该设计包括集成控制器局域网 (CAN) 接口,可与控制器进行稳健可靠的实时通信,以实现反馈和控制更新。该设计还包括用于监控输入/输出电压的电压反馈测量和用于监控变压器偏置电流的变压器电流测量。

该系统在多种工作条件下进行了实验验证,以演示系统操作。在 100 kHz 的目标开关频率下评估了各种负载条件下的性能。实验验证的完整参数如表 1 所示。该系统使用单相移开环运行。实验测量值用于验证所实现的 DAB 电路的各种性能特征。首先,在实际运行功率下验证相移控制。使用 Wolfspeed 图形用户界面 (GUI) 手动控制相移,如图 6(a) 所示。图 6(b) 和图 6(c) 分别显示了一个开关位置的一次侧和二次侧栅源电压 (VGS) 和漏源电压 (VDS) 的测量值。正如预期的那样,在 VGS 和 VDS 测量中,在一次侧和二次侧开关位置之间测量到了可配置的相移。

图 6:(a) DAB 图形用户界面,(b) VGS 测量中的相移验证,(c) VDS 测量中的相移验证
其次,使用电阻器组作为系统负载在高功率下评估输出调节和变压器运行。图 7 显示了在 ϕ = 11.6° 和 POUT = 40 kW 条件下运行的系统的时域测量示例。如图 6 所示,VGS 和 VDS 相移在电路测量中也很明显。此外,测量结果表明电路正常地将输出电压调节到稳定的 800 V(目标输出电压)。最后,变压器电流测量结果符合双有源电桥电路的预期梯形特征,表明电路工作正常。

= 11.6° 且 POUT = 40 kW 时的时域测量示例第三,检查系统是否成功实现 ZVS 操作。图 8 显示电路在
= 18.9° 且 POUT = 60 kW(额定功率)下工作时一个开关位置的一次侧和二次侧 VGS 和 VDS。在栅极信号命令器件导通之前,两侧的漏源电压达到 0 V,确认系统在 ZVS 下成功运行。

图 8:验证零电压开关导通
第四,通过改变输出负载来评估不同输出功率水平下的系统效率。实测效率如图 9 所示。由于该系统使用 SiC 器件运行,因此该电路能够在较宽的输出功率水平范围内保持高效率(当 POUT ≥ 20 kW 时,效率 > 98.7%),并且电路的峰值效率达到 99.2%。在 20 kW 以下,系统不能再以 ZVS 方式运行,因此效率降低,这也符合预期。

图 9:实测效率
6. 仿真
Wolfspeed 提供 Wolfspeed 产品组合中所有功率模块的 Plexim PLECS® 模型,包括本 DAB 设计中的 CAB006A12GM3T。这些模型可在此处获取。基于这些可公开获取的模型,开发了完整的 PLECS 仿真(如图 10 所示)来捕获本 DAB 设计的行为。为了检查模型的有效性,首先在与上文所述的实验结果相同的操作条件下进行仿真,仿真结果与实验结果高度吻合。例如,图 11 显示了 60 kW 运行期间的仿真和实验测量一次侧和二次侧变压器电流。仿真准确地捕获了基本电路行为和实验结果中观察到的测量幅度。

图 10:CRD60DD12N-GMA 仿真

如经证明可以模拟一般电路操作,该仿真就可以用于研究各种控制策略的性能,并了解所包含的电路参数的敏感性。例如,图 12 显示了改变漏电感对变压器一次侧电流的影响。仿真表明,增加漏电感会增加系统中的变压器一次侧峰值电流。降低漏电感可降低峰值电流。仿真可用于进一步优化组件和控制器策略。

本白皮书介绍了一款 60 kW 双有源桥式转换器,其可作为电动汽车快速充电机的构建模块。该设计以 Wolfspeed CAB006A12GM3T 半桥功率模块为中心。全 SiC 功率模块采用高性能预涂热界面材料、可提高热性能的无基板设计以及可轻松集成的压接引脚。本文中论述的模块化 DAB 与有源前端配对使用时,可以轻松地实现多构建模块并联,以将累加输出功率扩展至高达 300 kW。本白皮书包括设计操作基础知识、硬件实现论述、实验验证和仿真灵敏度分析。
参考文献
[1] B. W. Nelson, "Wolfspeed WolfPACK™ Power Module Platform: Accelerating Fast-Charger Development," Wolfspeed, 1 March 2021. [Online]. Available: https://www.wolfspeed.com/knowledge-center/article/wolfspeed-wolfpack-power-module-platform-accelerating-fast-charger-development/ . [Accessed 7 May 2024].
文章来源:WOLFSPEED